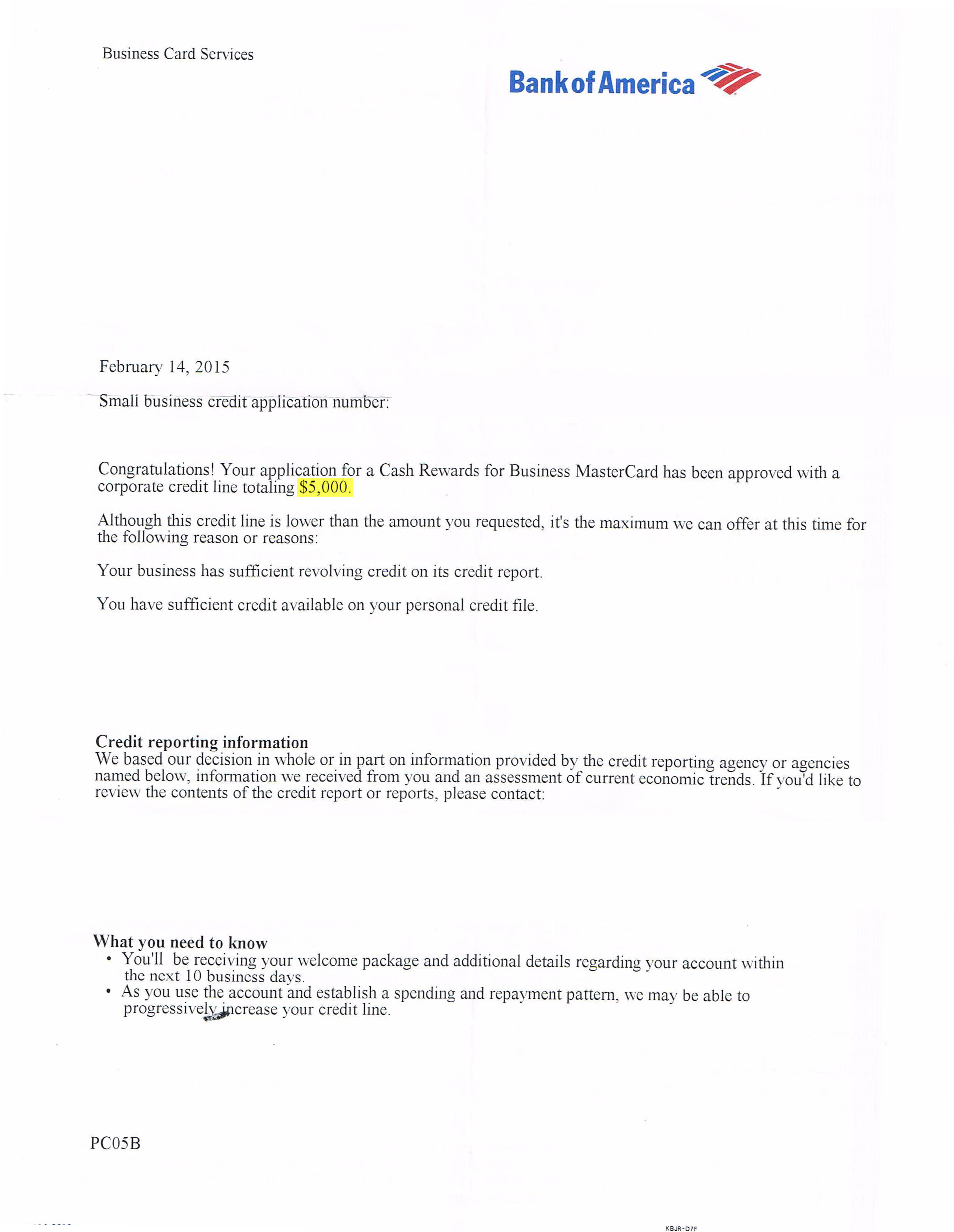
Business Credit Results